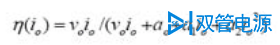
在本篇电源设计秘笈中,我们将讨论如何使用相同的级数最大化特定负载电流的电源效率。我们建议使用如下输出电流函数来计算电源损耗:
下一步是利用上述简单表达式,并将其放入效率方程式中:

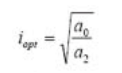
这样,输出电流的效率就得到了优化(具体论证工作留给学生去完成)。这种优化可产生一个有趣的结果。
当输出电流等于如下表达式时,效率将会最大化。

需要注意的第一件事是,a1项对效率达到最大时的电流不产生影响。这是由于它与损耗相关,而上述损耗又与诸如二极管结点的输出电流成比例关系。因此,当输出电流增加时,上述损耗和输出功率也会随之增加,并且对效率没有影响。需要注意的第二件事是,最佳效率出现在固定损耗和传导损耗相等的某个点上。这就是说,只要控制设置a0和a2值的组件,便能够获得最佳效率。还是要努力减小a1的值,并提高效率。控制该项所得结果对所有负载电流而言均相同,因此如其他项一样没有出现最佳效率。a1项的目标是在控制成本的同时达到最小化。

表1概括总结了各种电源损耗项及其相关损耗系数,该表提供了一些最佳化电源效率方面的折中方法。例如,功率MOSFET导通电阻的选择会影响其栅极驱动要求及Coss损耗和潜在的缓冲器损耗。低导通电阻意味着,栅极驱动、Coss和缓冲器损耗逆向增加。因此,您可通过选择MOSFET来控制a0和a2。
代数式下一位将最佳电流代回到效率方程式中,解得最大效率为:

需要最小化该表达式中的最后两项,以最佳化效率。a1项很简单,只需对其最小化即可。末尾项能够实现部分优化。如果假设MOSFET的Coss和栅极驱动功率与其面积相关,同时其导通电阻与面积成反比,则可以为它选择最佳面积(和电阻)。图12.1显示了裸片面积的优化结果。裸片面积较小时,MOSFET的导通电阻变为效率限制器。随着裸片面积增加,驱动和Coss损耗也随之增加。

图12.2是围绕图12.1最佳点的三种可能设计效率图。图中分别显示了三种设计的正常裸片面积。轻负载情况下,较大面积裸片的效率会受不断增加的驱动损耗影响,而在重负载条件下小尺寸器件因高传导损耗而变得不堪重负。这些曲线代表裸片面积和成本的三比一变化,注意这一点非常重要。正常芯片面积设计的效率只比满功率大面积设计的效率稍低一点,而在轻载条件下(设计常常运行在这种负载条件下)则更高。